Kumpulan Soal Tranformasi Integral
Soal UAS Semester 1 Matematika Kelas X Soal UAS Semester 1 Matematika Kelas XI dan Soal UAS Semester 1 Matematika Kelas XII. Sekian ulasan tentang integral lipat dua semoga sekarang anda telah memahami.
![]()
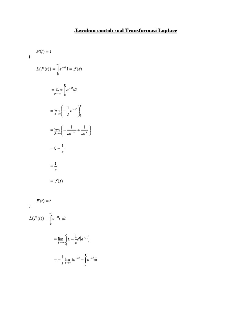
Contoh Soal Transformasi Laplace Dan Jawabannya Ilmu Pengetahuan 8
Y 3x 2.

Kumpulan soal tranformasi integral. SOAL-SOAL LATIHAN 51 1. Tentukan bayangan garis y 3x 5 oleh translasi T -2 1. Soal-soal Integral dan Pembahasan ini diambil dari soal -soal UN Ebtanas dan Soal UASSoal Integral ini sudah dilengkapi dengan pembahasan lengkapnya.
Pangkatnya diturukan sehingga dikali 9 dan pangkatnya berubah dari pangkat 9 menjadi 8 ingat yang bagian dalam kurung tetap. Integral juga dikenal dengan antiderivative adalah salah satu topik kalkulus yang cukup sulit dan memerlukan banyak latihan agar terbiasa menyelesaikan soal. Y x 2 3x 5 9 maka turunanya.
1 a tentukan bayangan dari titik a 2 3 oleh translasi t 7 8. Di kesempatan sebelumnya dalam tutorial serba definisi ini telah disinggung tentang turunan differensial baik turunan fungsi aljabar maupun turunan fungsi trigonometri nah taukah anda bahwa integral merupakan kebalikan dari turunan. Turunan dan integral ialah merupakan 2 fungsi yang sangat penting dalam kalkulus.
16 Contoh Soal Integral Utbk. Turunan x2 3x 5 adalah 2x 3. Kumpulan soal matematika turunan kelas 11.
2x3 3x2 x7dx. About Press Copyright Contact us Creators Advertise Developers Terms Privacy Policy Safety How YouTube works Test new features. Download Soal Matematika UAS Semester 1 SMA Kelas X XI dan XII 20172018.
Pada pelaksanaan sbmptn 20202021 hanya ada satu metode tes yaitu ujian tulis berbasis komputer atau utbk. 2 Tentukan integral dari x 2 2x 1. Contoh Soal Integral Tentu Tak Tentu Substitusi Parsial Trigonometri.
Jika u dan v adalah fungsi dalam x dan c adalah konstanta maka berlaku. Di dalam artikel kumpulan soal ini terdapat beberapa soal UAS Matematika diantaranya adalah. K xn dx n1 k xn1 c 2x3 3x2 x7dx 4 2 x4 3 3 x3 2 1 x2 7x c 2 1 x4 x3 2 1 x2 7x c 2.
Contoh 1 latihan soal un 2019 transformasi geometri bayangan kurva jika dicerminkan terhadap sumbu x dilanjutkan dengan dilatasi pusat o dan faktor skala 2 adalah. Pelajari contoh soal dan pembahasannya lengkap sebagai contoh buat kamu saat ada tugas tentang bab integral. By admin Minggu 21 Juni 2020 Add Comment.
50 Soal Dan Jawaban Integral Pdf Pelajaran Soal Rumus Integral Substitusi Trigonometri Wardaya. Contoh Soal-soal dan Pembahasan Integral 1. Demikian beberapa latihan soal integral tentu integral tak tentu integral parsial beserta pembahasannya.
Pengintegralan fungsi fx terhadap x dinotasikan sebagai berikut. Contoh Soal Integral Beserta Jawaban dan Pembahasannya. Contoh soal transformasi geometri dan pembahasan contoh soal 1.
Semoga soal ini dapat membantu adik-adik dalam mengerjakan dan memahami bentuk soal Turunan matematika. Y 2x 3. Y 2x 2.
Soal Latihan dan Pembahasan Integral. Y 2x 2. Y 3x 2.
Integral merupakan kebalikan dari turunan. Jadi kita dapat mengharapkan bahwa integral lipat-dua pada daerah yang dikurung oleh kurva-kurva yang demikian lebih mudah dihitung dengan menggunakan koordinat. Bayangan titik A oleh refleksi terhadap titik 1 -2 adalah titik A 3 5.
I π₯ 5 sin π‘ π‘ πππ sin π₯ 5 ππ₯ 5cos π‘ ππ‘ 25 π₯2 52 π₯2 52 52 sin2 π‘ 521 sin2 π‘ 52 cos2 π‘ 5 cos π‘ ii 25 π₯2 ππ₯ 5 cos. Kumpulan Soal Integral dan pembahasannya pada Materi kalkulus 2 atau Matematika LanjutKumpulan Soal Integral Tak Tentu dan PembahasannyaKumpulan Soal Integra. 24 Kumpulan Soal Penyelesaian Kelas XII Semester 1 Firda Fitri Annisa 6299 SMAN7YK Penyelesaian.
Kemudian dikalikan dengan turunan yang di dalam kurung. Berikut ini merupakan soal disertai pembahasannya ulangan umum matematika kelas xi semester genap tahun ajaran 2018 2019 smkn 3. Jika Fx adalah fungsi umum yang bersifat Fx fx maka Fx merupakan anti turunan atau integral dari fx.
Y 9 x 2 3x 5 8 2x 3 keterangan. Sama halnya dengan turunan pembahasan pada kumpulan soal integral ini banyak menyertakan manipulasi bentuk fungsi yang akan diintegralkan serta perlu pemahaman akan aturan-aturan yang berlaku dalam integral. 1 Hitunglah integral dari 4x 3 3x 2 2x 1.
Jadi integral dari 4x 3 3x 2 2x 1 adalah x 4 x 3 x 2 x c.

Contoh Soal Integral Tak Tentu
11 Contoh Soal Dilatasi Dan Pembahasan Nya Kumpulan Contoh Soal

Pengertian Jenis Dan Rumus Segitiga Matematika Jenis Angka Romawi
Contoh Soal Integral Parsial Contoh Soal Dan Materi Pelajaran 7

Konsep Dan Contoh Soal Transformasi Pada Rotasi Perputaran Halaman All Kompas Com

M1001 Transformasi Laplace Ringkasan Dan Contoh Soal 1 Youtube

Contoh Soal Matriks Kumpulan Soal Pelajaran 7

Contoh Soal Transformasi Laplace Trigonometri Soal Soal
Contoh Soal Transformasi Laplace Dan Jawaban Docx

Kumpulan Rumus Mean Median Modus Matematika Pengetahuan Ukuran Pemusatan Data

Contoh Soal Integral Tak Tentu

50 Contoh Soal Teori Probabilitas Mblewer S Blogmblewer S Blog Math Books Sheet Music

Learn Mathematics Indonesia Matemantika Belajar Matematika Online Instagram Kumpulan Soal Pembahasan Sma Barisan Dan Deret Kelas 1 Di 2020 Matematika Instagram Belajar

Contoh Soal Integral Lipat Dua Dan Penyelesaiannya Kumpulan Soal Pelajaran 5

Konsep Dan Contoh Soal Transformasi Pada Rotasi Perputaran Halaman All Kompas Com

Rumus Vektor Satuan Matematika Bersama Contoh Soal Dan Jawaban Matematika Satuan Persamaan

Kumpulan Rumus Integral Trigonometri Matematika Belajar

Rumus Gaya Sentripetal Gerak Melingkar Contoh Soal Dan Jawaban Gaya Sentripetal Gerak Melingkar Gaya
![]()
Soal Matematika Sma Ulangan Harian Transformasi
Posting Komentar untuk "Kumpulan Soal Tranformasi Integral"